Введение
В условиях интенсивной промышленной деятельности химический состав почв может подвергаться значительным изменениям. Комбинат, основанный в середине XX в., стал одним из крупнейших предприятий черной металлургии в России, производя миллионы тонн стали и чугуна ежегодно [1]. Однако его деятельности сопутствуют выбросы загрязняющих веществ, которые могут негативно влиять на окружающую среду и состав почвы, что определяет актуальность контроля дальнейших геохимических изменений.
По данным [2] по итогу 2021 г., на Череповецкий металлургический комбинат ПАО «Северсталь» приходится 69 % выбросов по области и свыше 90 % выбросов по городу.
Цель исследования – оценка загрязнения почв тяжелыми металлами выбросами загрязняющих веществ ЧерМК.
Материалы и методы исследования
Летом 2024 г. проведен полевой этап исследования с отбором почвенных проб по ГОСТ 17.4.4.02-2017 «Охрана природы. Почвы. Методы отбора и подготовки проб для химического, бактериологического, гельминтологического анализа» в Череповецком районе Вологодской области. Был выбран метод эталонных площадей. Всего отобрано 50 почвенных проб поверхностного серогумусового (AY) горизонта почв методом конверта. Дополнительно были заложены 4 разреза для вертикального анализа распределения тяжелых металлов. Местами для этого стали четыре вторичных луга со схожими условиями формирования, без признаков заболоченности, расположенные в разных направлениях от комбината, на землях сельскохозяйственного назначения. Схема расположения пробных площадей приведена на рис. 1.
Исследуемые разрезы представляли собой дерново-подзолистые почвы с подстилкой О мощностью 2–4 см, слабой степенью разложения. Под подстилкой залегал гумусовый горизонт AY темно-серого или коричневого цвета, мощностью 3–13 см, с мелкокомковатой структурой и супесчаным или легкосуглинистым гранулометрическим составом. Под ним располагался элювиальный горизонт EL светло-серой окраски, сильно варьирующейся мощностью (от 6–25 до 15–40 см). Переходный субэлювиальный горизонт BEL представлен комбинацией светлых и бурых (темных) фрагментов, различающихся по сложению, гранулометрическому составу и структуре. Ниже прослеживался текстурный горизонт BТ плотный, бурый, постепенно переходящий в подстилающую породу BC.
В каждой почвенной пробе были определены: реакция среды (актуальная и потенциальная кислотности) по методу, описанному в [3], содержание подвижных форм тяжелых металлов методом атомно-эмиссионной спектрометрии с индуктивно связанной плазмой с помощью спектрометра ICPE-9000 [4]. В ходе работы установлено, что концентрации мышьяка (As) и ртути (Hg) оказались ниже пределов обнаружения использованных аналитических методов (менее 0,020 мг/кг).

Рис. 1. Схема расположения пробных площадей Источник: составлено авторами по результатам данного исследования
Лабораторные исследования на определение реакции среды проведены в Учебной лаборатории физико-химических методов анализа управления технического обеспечения образовательных программ по направлениям «География», «Геология», «Геоэкология» и «Почвоведение» СПбГУ. Содержание подвижных форм тяжелых металлов определялось на базе аккредитованного Ресурсного центра СПбГУ «Методы анализа состава вещества».
При камеральной обработке использовались методы описательной статистики, критерий проверки выборки на нормальность Колмогорова – Смирнова и корреляционный анализ. Расчет критериев производился в SPSS Statistics.
Результаты исследования и их обсуждение
Вертикальное распределение химических элементов и pH по профилю почв Череповецкого района
Реакцию среды поверхностных горизонтов в четырех полуразрезах можно отнести к нейтральной и близкой к нейтральной. В нижележащих горизонтах значения актуальной кислотности меняются на 0,1–0,5 ед. pH. Несмотря на это, выраженные вертикальные градиенты кислотности не формируются. Вероятнее всего, такое выравнивание pH по глубине разреза обусловлено минеральным составом почв и биологической активностью.
В полуразрезе I (на юго-востоке от комбината) содержание большинства металлов (Cd, Cu, Fe, Mn, Ni, Pb, V, Zn) снижается с глубиной, при этом относительно стабильный pH (7,0–7,1) обеспечивает умеренную подвижность этих элементов. В таком случае это может указывать на воздушный тип загрязнения тяжелыми металлами.
В полуразрезе II (ближайший к ЧерМК и трассе) наблюдается смешанная картина распределения микроэлементов, что может быть связано с различными источниками загрязнения, особенностями миграции и аккумуляции. Содержание Cd, Pb, Mn, Ni и Zn снижается с глубиной аналогично полуразрезу I. Содержание Cu и Fe увеличивается. В условиях слабокислого pH (6,8–6,9) медь и железо могут образовывать комплексные соединения с органическими кислотами, которые транспортируются вниз по профилю. При контакте с минералами иллювиального горизонта (например, глинистыми частицами) Cu и Fe осаждаются, создавая локальные максимумы.
В полуразрезе III (на юго-востоке от комбината) наиболее значительный тренд наблюдается для железа (Fe), содержание которого с глубиной возрастает с 46,30 до 139,30 мг/кг, что указывает на активный вынос Fe из верхних горизонтов и его аккумуляцию в иллювиальной части профиля, характерную для подзолистого процесса. Аналогичная, но менее выраженная тенденция характерна для марганца (Mn), содержание которого увеличивается с 3,480 до 26,60 мг/кг, что может быть связано с восстановительной миграцией Mn+2 в условиях локального оглеения. Содержание цинка (Zn) возрастает в три раза (с 0,377 до 1,424 мг/кг), что, вероятно, обусловлено образованием подвижных органо-минеральных комплексов, транспортирующих Zn в нижние горизонты.
В полуразрезе IV наблюдается неоднозначный характер распределения микроэлементов по глубине. Содержание кадмия (Cd), меди (Cu) и марганца (Mn) снижается, а в последующем горизонте незначительно возрастает, что характерно для дерново-подзолистых почв. Содержание железа (Fe) также уменьшается с глубиной (с 65,90 до 58,10 мг/кг), что может быть связано с выносом из верхних горизонтов в результате подзолистого процесса, однако некоторая аккумуляция в нижнем горизонте может указывать на осаждение в связи с изменением окислительно-восстановительных условий. Никель (Ni) и свинец (Pb) также показывают максимум в среднем слое (0,219 и 0,73 мг/кг соответственно), возможно из-за сорбции глинистыми минералами в субэлювиальном горизонте. Цинк (Zn) сначала резко возрастает (с 0,647 до 1,793 мг/кг), а затем снижается (0,431 мг/кг), что может быть связано с его высокой подвижностью и способностью образовывать комплексы с органическим веществом.
Сравнение профилей распределения микроэлементов позволяет предположить сочетание атмосферного загрязнения и особенностей почвообразования как основных факторов, определяющих их содержание. Повышенное содержание Zn и Pb в верхних слоях почвы, вероятно, связано с атмосферными выпадениями от деятельности транспорта и промышленного предприятия, а также с их аккумуляцией в верхних горизонтах, богатых органическим веществом.

Рис. 2. Карта-схема распределения показателя pH почв в исследованных экосистемах Источник: составлено авторами по результатам данного исследования
Кислотность почв Череповецкого района
Индикаторами аэротехногенного загрязнения от промышленных предприятий в первую очередь могут служить кислотно-основные показатели. Для области характерны слабокислые и среднекислые почвы. В 2016 г. кислотность для Череповецкого района составляла от 5,40 до 5,50, а потенциальная – от 4,24 до 4,98 [5]. Диапазон значений актуальной кислотности в текущем исследовании на территории Череповецкого района составлял от 5,2 до 8,9 со средним значением 7,0±0,8 (рис. 2), а потенциальной – от 4,2 до 7,8 со средним значением 6,4±0,9. Разница между актуальной и потенциальной кислотностью в среднем составляет 0,6±0,4.
В сравнении с данными, представленными в [5] в 2016 г., кислотность Череповецкого района изменилась значительно: реакция среды сменилась со слабокислой на нейтральную. Несмотря на то, что в составе выбросов ЧерМК преобладают SO2, NO2, NO и др., вызывающие вместе с CO2 выпадение кислых осадков, к подкислению почв, в отличие от цветной металлургии, это не приводит, так как с пылевыми выбросами в почвы поступают карбонаты кальция и магния, нейтрализующие кислотность и подщелачивающие почву [6]. Высокое содержание кальция в почвах подтверждается результатами лабораторных анализов, которые выявили содержание данного элемента в диапазоне от 1 до 40 г/кг.
Наименьшее значение 5,2 соответствует точке 35, расположенной в д. Костяевка, которая отличается от остальных площадок наличием большого количества хвойных пород на данной территории и более легким гранулометрическим составом, то есть закисление почвы на точке произошло по естественной причине – образование гумуса из трудноразлагаемой органики (хвои).
Содержание микроэлементов в зоне влияния Череповецкого металлургического комбината
Полученные данные сравнивались с действующим в России в настоящее время гигиеническим нормативом [7], а также с результатами исследований по изучению подвижных форм микроэлементов в дерново-подзолистых почвах.
Результаты анализа содержания тяжелых металлов в почвах Череповецкого района и их сопоставление с фоновыми и нормативными значениями
|
Cd, мг/кг |
Cu, мг/кг |
Fe, мг/кг |
Mn, мг/кг |
|
|
Текущее исследование |
0,088 (0,053 – 0,135) |
0,142 (0,069 – 0,298) |
26,00 (10,25 – 41,18) |
53,66 ± 28,95 |
|
ПДК/ОДК |
– |
3 [7] |
15–120 [9] |
100 [7] |
|
Макаров, 1969 [11, с. 12] |
– |
5,5 |
– |
274 |
|
Региональный фон [8] |
0,031 – 0,095 |
– |
– |
– |
|
Ni, мг/кг |
Pb, мг/кг |
V, мг/кг |
Zn, мг/кг |
|
|
Текущее исследование |
0,207 (0,160 – 0,269) |
1,03 (0,62 – 1,41) |
1,579 (0,855 – 3,559) |
3,040 (1,464 – 7,223) |
|
ПДК/ОДК |
4 [7] |
6 [7] |
7–15 [10] |
23 [7] |
|
Макаров, 1969 [11, с. 12] |
– |
– |
– |
– |
|
Региональный фон [8] |
0,37–0,98 |
0,51–1,80 |
– |
1,57–14,47 |
Источник: составлено авторами на основе полученных данных в ходе исследования и на основе [7– 9; 11, с. 12].
В качестве регионального фона для сравнительного анализа использованы данные [8], где обобщены результаты по 20 реперным участкам. В таблице приведены результаты текущего исследования по содержанию тяжелых металлов (Cd, Cu, Fe, Mn, Ni, Pb, V, Zn) в сравнении с ПДК, фоновыми значениями и литературными данными.
По результатам исследования медиана содержания кадмия (Cd) составила 0,088 мг/кг, что в целом соответствует региональному фону Вологодской области [8]. Содержание меди (Cu) – 0,142 мг/кг – значительно ниже установленного ПДК. Содержание железа (Fe) – 26,00 мг/кг – находится в пределах фоновых значений. Для марганца (Mn) среднее значение составило 53,66 мг/кг, что ниже ПДК. Никель (Ni) – 0,207 мг/кг – ниже фонового диапазона и ПДК. Содержание свинца (Pb) – 1,03 мг/кг – ниже ПДК, но соответствует региональному фону. Ванадий (V) – 1,579 мг/кг – ниже фоновых значений по литературным данным. Содержание цинка (Zn) – 3,040 мг/кг – также ниже ПДК и находится в пределах регионального фона.
Согласно результатам исследования [11, с. 11–12], проведенного в дерново-подзолистых почвах Вологодской области (в том числе в Череповецком районе) в гумусовом горизонте в 1969 г., содержание подвижных форм марганца было 274 мг/кг, а меди – 5,5 мг/кг. Такое различие с данными настоящего исследования, вероятно, главным образом связано, во-первых, с сокращением промышленных выбросов в атмосферу города за этот период за счет внедрения газоочистных установок и замкнутых циклов производства, снижающих поступление марганца и меди в окружающую среду, во-вторых, с прекращением использования фосфорных удобрений с добавками марганца, меди, кобальта и цинка главным образом на севере города, ведь раньше эти территории были частью крупного Череповецкого колхоза, центром которого была д. Большой Двор (Тоншаловское сельское поселение) [11, с. 11].
Луговое сообщество на севере города в 7 км от основных цехов ПАО «Северсталь» (т. 5) выделяется на фоне всех остальных повышенным содержанием меди, марганца, никеля, свинца, ванадия и цинка. Вероятно, это связано с его близостью к придорожной зоне трассы 19К-125 с высокой интенсивностью движения, расположением по направлению преобладающих направлений ветров и непосредственной близостью к предприятию. Максимальное содержание меди в почве точки 5 составило 6,010 мг/кг, что в 2 раза превышает установленную предельно допустимую концентрацию (ПДК) для почв. Содержание свинца на этом же участке достигло 19,57 мг/кг и превышает ПДК в 3,3 раза.
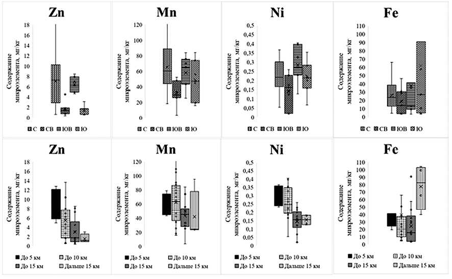
Повышенное содержание кадмия, меди, свинца, ванадия, цинка наблюдается в северном направлении в радиусе до 10 км от ЧерМК (разница в 1,2–3,7 раза), что указывает на комбинат как основной источник его поступления (рис. 3 и 4). В северном направлении (совпадающем с преобладающими ветрами) содержание марганца выше, чем в других направлениях. Однако на удалении более 15 км снижения содержания не выявлено, что может свидетельствовать о дополнительных источниках поступления марганца. Для никеля наблюдается иная картина пространственного распределения (рис. 4).

Рис. 3. Содержание подвижных форм кадмия, меди, свинца и ванадия (мг/кг) в почвах в зависимости от расстояния от направления (верхний ряд) и расстояния от основных цехов предприятия (нижний ряд) Источник: составлено авторами по результатам данного исследования

Рис. 4. Содержание подвижных форм цинка, марганца, никеля и железа (мг/кг) в почвах в зависимости от расстояния от направления (верхний ряд) и расстояния от основных цехов предприятия (нижний ряд) Источник: составлено авторами по результатам данного исследования
Несмотря на то, что железо является основным компонентом выбросов предприятия черной металлургии и по интенсивности поступления на поверхность почв вблизи источника загрязнения должно значительно превосходить остальные металлы, вблизи ЧерМК по результатам исследования (рис. 4) ожидаемое преобладание железа не наблюдается.
Сравнение двух выборок значений содержания железа в почве, разделенных по уровню кислотности (1-я выборка: pH > 7; 2-я выборка: pH < 7), с использованием U-критерия Манна – Уитни показало, что гипотеза о наличии статистически значимых различий между группами подтверждается. Это соответствует известной способности железа увеличивать свою подвижность при переходе от почв с щелочной реакцией к нейтральным и кислым почвам. Аналогичные результаты были описаны в работе [12] о техногеохимической аномалии в Череповецком районе. Техногеохимическая аномалия также подробно рассматривалась в текстах [13; 14] и других подобных работах. Из этого можно предположить, что вблизи ЧерМК, где преобладают нейтральные почвы, больше содержание валового железа, однако оно преимущественно закреплено в нерастворимых формах (оксиды, гидроксиды). В то же время вдали от предприятия более кислые почвы и возрастает доля подвижных форм железа.
Для оценки загрязнения почв тяжелыми металлами также был рассчитан показатель суммарного загрязнения почв (показатель Саета) (Zc), значения которого проградуированы (условно) по классам опасности. За фоновое содержание шести элементов (Cd, Pb, Zn, Cu, Ni и Mn) в почве принимались средние значения исследуемых показателей в верхнем горизонте (0–20 см) почв реперного участка Дарвинского заповедника в 2013 г. [15]. В результате расчет показателя суммарного загрязнения почв (показатель Саета) показал значение 29, что позволяет охарактеризовать участок исследования как умеренно опасный при 16 < Zc < 32.
Необходимо учесть разную токсичность тяжелых металлов, потому, внеся поправочный коэффициент на токсичность, рассчитывался показатель суммарного загрязнения (Zct). Значение нового показателя увеличилось на 6 баллов по сравнению с показателем Саета и стало равно 35, что соответствует опасной категории загрязнения при 32 < Zct < 128.
Корреляционный анализ
В данных по почвам Череповецкого района выявлено 9 значимых коэффициентов корреляции Пирсона между парами параметров со связью средней силы (|r| ≥ 0,5) и выше. Тесные корреляционные связи установлены между Ni, Pb и Cu, формирующие единую группу: Ni–Cu (r = 0,96), Ni–Pb (r = 0,88) и Pb–Cu (r = 0,88), что свидетельствует, видимо, о совместной аккумуляции этих элементов в почве в результате поступления из одного источника. Дополнительно цинк (Zn) демонстрирует связь средней силы с Pb (r = 0,76), Cu (r = 0,57) , V (r = 0,54) и Mn (r = 0,65), что также может говорить о совместном присутствии в составе выбросов.
Подобное присутствие нескольких загрязняющих веществ (Ni, Mn) описано в составе выбросов сталеплавильного производства ЧерМК в исследовании [16], отдельно в этом же тексте приводятся результаты мониторинга почв о локально выраженном загрязнении почв, непосредственно примыкающих к комбинату, по цинку (Zn) и никелю (Ni). Если говорить о меди (Cu), свинце (Pb) и ванадии (V), то они обычно сопутствуют железу при его производстве [17, с. 17].
Кроме того, можно выделить связь средней силы между pH(H2O) и Mn (r = 0,56). Вероятно, это связано с тем, что при повышении рН увеличивается количество подвижных форм марганца.
Заключение
Исследование не выявило формирования выраженных вертикальных градиентов актуальной кислотности. Содержание микроэлементов обусловлено сочетанием двух ключевых факторов: атмосферного загрязнения и природных процессов почвообразования.
Почвы Череповецкого района характеризуются нейтральной реакцией среды (рН = 7,0±0,8). Подобное значение коррелирует с рассеиванием выбросов от Череповецкого металлургического комбината, которые в силу своего химического состава подщелачивают почву.
Выявлено, что максимальные содержания Cu и Pb превышают допустимые значения (ПДК для почв). В зоне влияния ЧерМК на расстоянии до 10 км отмечается повышенное содержание микроэлементов (Cd, Pb, Cu, V, Zn) по сравнению с территориями, расположенными дальше (разница в 1,2–3,7 раза). Расчет показателя суммарного загрязнения почв (показатель Саета) классифицирует участок исследования как умеренно опасный, а показатель суммарного загрязнения указывает на опасную категорию загрязнения, учитывая разную токсичность металлов.
Для оценки взаимосвязи между исследованными веществами в почве был использован коэффициент корреляции Пирсона. Были выявлены 9 значимых корреляций средней силы и выше.
Полученные результаты могут быть использованы при разработке природоохранных мероприятий с целью улучшения экологической обстановки в Череповецком районе.
Библиографическая ссылка
Репина В.И., Недбаев И.С. ЗАГРЯЗНЕНИЕ ТЯЖЕЛЫМИ МЕТАЛЛАМИ ПОЧВ В ЗОНЕ ВЛИЯНИЯ ЧЕРЕПОВЕЦКОГО МЕТАЛЛУРГИЧЕСКОГО КОМБИНАТА // Успехи современного естествознания. 2025. № 10. С. 23-30;URL: https://natural-sciences.ru/en/article/view?id=38438 (дата обращения: 19.04.2026).
DOI: https://doi.org/10.17513/use.38438



