Введение
С позиций геоэкологии почва является центральным звеном, связующим абиотические и биотические компоненты ландшафта. Согласно учению В. И. Вернадского о биосфере, почва является ключевым звеном в биогеохимическом цикле элементов, а ее деградация ведет к нарушению устойчивости агроэкосистем [1]. Классические работы В. В. Докучаева заложили основы понимания зональности почвообразования [2], однако современные антропогенные факторы часто нивелируют природные закономерности. В связи с этим управление плодородием требует ландшафтно-адаптивного подхода [3], рассматривающего агросистемы как часть единого геоэкологического каркаса территории. Методология типизации агроландшафтов с точки зрения их устойчивости освещена в работах коллектива авторов Н. В. Долгополовой, А. Ю. Черемисинова и В. В. Джафарова и т. д. [4–6].
Современные исследования направлены на поиск экологически обоснованных подходов к повышению устойчивости агроландшафтов [7] и выбор репрезентативных показателей для мониторинга плодородия [8]. Большое значение приобретает разработка региональных методов оценки состояния агроландшафтов [9]. Действенным механизмом их улучшения является в том числе и создание лесозащитных полос, которые выполняют противоэрозионную функцию и повышают биоразнообразие [10].
Для Чувашской Республики характерна острая проблема деградации почв [11]. В условиях, когда распаханность территории достигает 73 % [12], эрозионные процессы значительно осложняют геоэкологическую ситуацию, вызывая трансформацию геохимических барьеров и потерю гумуса. Комплексная агроэкологическая оценка землепользования [13] является необходимым условием для разработки стратегий сохранения почвенного плодородия.
Цель исследования – кластерный анализ агроландшафтов Чувашской Республики и их геоэкологическая оценка с выработкой практических рекомендаций.
Материалы и методы исследования
Объектом исследования послужили агроландшафты Чувашской Республики общей площадью 1005 тыс. га. Исходные данные получены из материалов крупномасштабных почвенно-агрохимических обследований, выполненных Чувашским филиалом ФГБУ «Агрохимическая служба России».
Методология исследования включала: сравнительно-географический метод – для выявления зональных различий; картографический метод – для визуализации пространственного распределения параметров; статистический анализ вариации показателей эрозии и агрохимии по муниципальным образованиям; кластерный анализ для классификации территорий по совокупности признаков деградации.
Кластеризация проводилась иерархическим агломеративным методом Варда (Ward’s method) с использованием квадрата евклидова расстояния. Для приведения показателей к единой безразмерной шкале все переменные были стандартизированы (z-преобразование) по формуле
Zij = (xij – xj) / sj ,
где Zij – стандартизированное значение j-го показателя для i-го объекта (муниципального округа); xij – исходное значение j-го показателя для i-го объекта; xj – среднее арифметическое значение j-го показателя; sj – стандартное отклонение j -го показателя.
Для верификации результатов использован метод k-средних с заданным числом кластеров, который позволил уточнить состав кластеров и рассчитать средние значения показателей. Расчеты выполнены в пакетах Statistica 12.0 и IBM SPSS Statistics 23.
Для перехода к количественной оценке была создана база данных по 21 муниципальному округу Чувашской Республики (далее – м. о. ЧР). Для анализа отобраны 9 показателей, наиболее полно характеризующих геоэкологическое состояние агроландшафтов: 1) эрозионные характеристики: доля эродированной пашни (X₁, %), среднегодовой смыв почвы с пашни (X₂, т/га); 2) качественная оценка почв: балл бонитета (X₃); 3) агрохимические свойства: доля кислых почв с pH < 5,5 (X₄, %), доля почв с низким содержанием подвижного фосфора (X₅, %), доля почв с низким содержанием обменного калия (X₆, %), средневзвешенное содержание гумуса (X₇, %); 4) лимитирующие факторы: доля переувлажненных земель (X₈, %), доля каменистых почв (X₉, %).
Результаты исследования и их обсуждение
В структуре земельного фонда Чувашской Республики преобладают земли сельскохозяйственного назначения – 55,26 % [14, 15]. По данным мониторинга, 88,4 % сельскохозяйственных угодий (831,1 тыс. га) относятся к эрозионно опасным. Из них фактически эродировано 492,2 тыс. га (52,4 %).
Таблица 1
Состав кластеров и средние значения показателей
|
Показатель |
Кластер 1 (Северный – зона критической деградации) |
Кластер 2 (Центральный – зона эрозионного риска) |
Кластер 3 (Западный – зона переувлажнения) |
Кластер 4 (Юго-Восточный – зона высокого потенциального плодородия) |
Среднее по Чувашской Республике |
|
X₁. Эродировано пашни, % |
86,6 |
77,3 |
55,7 |
84,8 |
77,9 |
|
X₂. Среднегодовой смыв, т/га |
11,0 |
7,7 |
7,3 |
4,2 |
8,0 |
|
X₃. Бонитет, балл |
41,9 |
45,0 |
43,0 |
50,0 |
43,0 |
|
X₄. Кислые почвы, % |
36,6 |
39,4 |
42,8 |
38,4 |
37,9 |
|
X₅. Низкий P₂O₅, % |
13,0 |
17,0 |
15,0 |
30,2 |
18,2 |
|
X₆. Низкий K₂O, % |
52,6 |
36,9 |
25,2 |
38,9 |
41,5 |
|
X₇. Гумус, % |
2,5 |
3,8 |
4,5 |
6,2 |
4,0 |
|
X₈. Переувлажненные, заболоченные, % |
6,1 |
7,4 |
18,2 |
6,8 |
9,6 |
|
X₉. Каменистые, % |
0,7 |
1,1 |
0,0 |
0,4 |
0,6 |
Примечание: составлена авторами на основе на основе источников [14, 15].
Наиболее критическая ситуация наблюдается в районах с высокой густотой овражно-балочной сети (> 2 км/км²), таких как Чебоксарский, Ядринский и Канашский. Среднегодовой смыв почвы по республике составляет 8,00 т/га, что превышает допустимые нормы для устойчивого земледелия (2–5 т/га). Максимальные значения зафиксированы в Чебоксарском (13,73 т/га) и Мариинско-Посадском (12,88 т/га) районах.
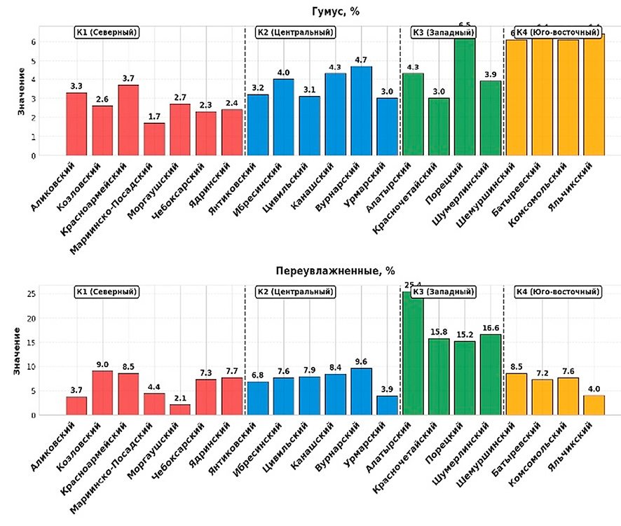
На основе комплексной оценки методом кластерного анализа авторами были выделены четыре группы муниципальных округов, различающихся по геоэкологическим показателям (табл. 1, рисунок).
Кластер 1 (Северный – зона критической деградации) расположен в пределах Приволжской возвышенности с сильно расчлененным рельефом и высокой густотой овражно-балочной сети. Включает Аликовский, Козловский, Красноармейский, Мариинско-Посадский, Моргаушский, Чебоксарский, Ядринский м. о. ЧР. Для кластера характерны наиболее острые геоэкологические проблемы: максимальная доля эродированной пашни (86,6 %), наивысший смыв (11 т/га), самое низкое содержание гумуса (2,5 %) и бонитет (41,9 балла). Критическим является крайне низкое содержание обменного калия в почве (менее 100 мг/кг), доля которого в кластере составляет 52,6 %. Кислотность средняя (36,6 %), фосфором почвы обеспечены лучше (13,0 % низкого P₂O₅). Каменистость 0,7 %, но внутри кластера выделяются районы с повышенной каменистостью (Козловский – 2,9 %).
Высокая интенсивность эрозионных процессов обусловлена максимальными для республики показателями горизонтального расчленения рельефа и густотой овражно-балочной сети. Так, в Моргаушском, Чебоксарском и Ядринском округах доля сильноэродированных земель достигает 9–16 % от всех сельскохозяйственных угодий, а среднегодовой смыв почвы с пашни стабильно превышает 11 т/га, достигая в Чебоксарском м. о. ЧР 13,7 т/га, что является максимальным показателем по республике. Преобладают дерново-подзолистые и серые лесные почвы.
Кластер 2 (Центральный – зона эрозионного риска) характеризуется средними показателями: доля эродированной пашни – 77,3 %, смыв – 7,7 т/га, бонитет – 45 баллов, гумус – 3,8 %. Включает Вурнарский, Канашский, Урмарский, Цивильский, Ибресинский и Янтиковский м. о. ЧР. Геоэкологическую специфику кластера определяют повышенная доля кислых почв (39,4 %), умеренный дефицит фосфора (17,0 %) и калия (36,9 %).
Наблюдается повышенный показатель каменистости почв (1,1 %), которая ярко выражена на локальном уровне: в Урмарском и Янтиковском округах доля каменистых почв составляет 2,9 и 2,2 % соответственно. Динамика агрохимических показателей неустойчива, что указывает на несбалансированность систем земледелия. Например, в Канашском муниципальном округе отмечено снижение кислотности, но падение содержания фосфора и гумуса; в Урмарском – рост калия, но снижение фосфора. Кластер представляет собой переходную зону от серых лесных почв к черноземам.
Кластер 3 (Западный – зона переувлажнения) охватывает долины рек Суры и Алатыря в пределах Алатырского, Красночетайского, Порецкого и Шумерлинского м. о. ЧР. Здесь преобладают дерново-подзолистые, аллювиальные и серые лесные почвы. Переувлажнение имеет преимущественно пойменный характер: около 80 % всех переувлажненных земель Чувашии (73,5 тыс. из 86,3 тыс. га) сосредоточены именно здесь.

Показатели кластерного анализа муниципальных округов Чувашской Республики Примечание: составлен авторами на основе источников [14, 15]


Показатели кластерного анализа муниципальных округов Чувашской Республики (продолжение) Примечание: составлен авторами на основе источников [14, 15]

Показатели кластерного анализа муниципальных округов Чувашской Республики (окончание) Примечание: составлен авторами на основе источников [14, 15]
Таблица 2
Приоритетные мероприятия по кластерам
|
Кластер |
Приоритетные мероприятия |
Ожидаемые результаты |
|
Кластер 1 (Северный – зона критической деградации) |
1. Противоэрозионная организация территории: контурная вспашка, буферные лесополосы, залужение крутых склонов, террасирование. 2. Создание водорегулирующих лесных полос. 3. Внесение повышенных доз калийных и органических удобрений. 4. Известкование кислых почв. 5. Минимальная и нулевая обработка почвы на склонах |
Снижение смыва почвы, повышение содержания калия и гумуса, уменьшение кислотности, сокращение эродированных площадей |
|
Кластер 2 (Центральный – зона эрозионного риска) |
1. Сбалансированное внесение минеральных удобрений по результатам агрохимического обследования. 2. Известкование кислых почв (39,4 % площади). 3. Удаление камней или подбор культур, устойчивых к каменистости. 4. Почвозащитные севообороты с многолетними травами. 5. Локальное применение противоэрозионных мер на участках со смывом > 8 т/га. |
Повышение продуктивности пашни, выравнивание агрохимических показателей, снижение кислотности и каменистости |
|
Кластер 3 (Западный – зона переувлажнения) |
1. Гидротехнические мелиорации: осушение закрытым дренажем, двустороннее регулирование водного режима. 2. Известкование кислых почв (42,8 % площади). 3. Подбор влаголюбивых культур (многолетние травы, кормовые культуры). 4. Ограничение вспашки на переувлажненных участках, переход на минимальную обработку. 5. Противоэрозионные меры на приречных склонах (в Порецком муниципальном округе) |
Улучшение водно-воздушного режима, повышение урожайности, сокращение площадей кислых почв, снижение смыва |
|
Кластер 4 (Юго-Восточный – зона высокого потенциального плодородия) |
1. Внесение фосфорных и калийных удобрений в дозах, компенсирующих вынос (с учетом картограмм). 2. Применение органических удобрений для поддержания гумусного состояния. 3. Известкование при снижении pH < 5,5. 4. Мониторинг содержания гумуса и элементов питания |
Стабилизация и повышение содержания P₂O₅ и K₂O, сохранение высокого гумуса, предотвращение закисления |
Примечание: составлена авторами на основе полученных данных в ходе исследования.
Кластер отличается минимальной долей эродированной пашни (55,7 %), но максимальной долей переувлажненных (18,2 %) и кислых почв (42,8 %). Смыв близок к среднему (7,3 т/га), гумус выше среднего (4,5 %). Обеспеченность калием – наилучшая (лишь 25,2 % низкокалийных почв), каменистые почвы практически отсутствуют. Однако геоэкологическая обстановка неоднородна: на приречных склонах Порецкого муниципального округа интенсивность смыва почвы достигает 9,5 т/га, что создает локальные очаги эрозионной опасности.
Кластер 4 (Юго-Восточный – зона высокого потенциального плодородия) приурочен к лесостепной зоне с черноземами оподзоленными и выщелоченными и серыми лесными почвами. Включает Батыревский, Комсомольский, Шемуршинский, Яльчикский м. о. ЧР. Муниципальные округа кластера обладают высоким природным плодородием (максимальный бонитет 50 баллов и содержание гумуса 6,2 %) и минимальными показателями смыва (4,2 т/га). Однако высокая распаханность и интенсивное земледелие привели к обеднению почв фосфором и калием: доля почв с низким содержанием P₂O₅ максимальна (30,2 %), а дефицит K₂O значителен (38,9 %).
Выявленная пространственная дифференциация отражает зональные и провинциальные закономерности почвенного покрова Чувашии, а также особенности рельефа и хозяйственного использования. Предложенная типология уточняет и расширяет существующие схемы природно-сельскохозяйственного районирования [14] за счет количественного учета агрохимических показателей и эрозионных процессов, что позволяет перейти от общих рекомендаций к адресным программам.
Анализ региональных исследований, включая работы А. О. Елизарова и Р. Н. Ушакова (2022) [16, 17], подтверждает универсальность этого подхода. Применение кластерного, дискриминантного анализа и метода главных компонент доказывает, что многомерная статистика служит эффективным средством поиска оптимальной структуры свойств агроландшафтов.
Практические рекомендации. На основе проведенного анализа для каждого кластера предложены приоритетные направления мероприятий (табл. 2).
Заключение
Земельные ресурсы Чувашской Республики находятся в состоянии устойчивого напряженного функционирования. Ключевыми лимитирующими факторами являются водная эрозия (охват 52,4 % пашни) и дисбаланс элементов питания (дефицит калия на 41,5 % площадей). Гумусовый фонд стабилен, но структурно неблагополучен: более 60 % пашни имеет недостаточное содержание органического вещества.
Методом иерархического кластерного анализа выделено четыре кластера Чувашской Республики, различающихся по комплексу геоэкологических показателей: Северный – зона критической деградации (критическая эрозия и дефицит калия); Центральный – зона эрозионного риска (средние показатели с повышенной кислотностью и каменистостью); Западный – зона переувлажнения (минимальная эрозия, но максимальное переувлажнение и кислотность); Юго-Восточный – зона высокого потенциального плодородия (высокий природный потенциал при дефиците фосфора и калия).
Выявленная дифференциация обуславливает необходимость применения адресных подходов к управлению земельными ресурсами. Для стабилизации геоэкологической ситуации необходимы: в Северном кластере – противоэрозионные мероприятия и внесение калийных удобрений; в Западном – гидромелиорация и известкование; в Юго-Восточном – восполнение дефицита фосфора и калия; в Центральном – сбалансированное применение удобрений, известкование и мелиорация каменистых почв.
Полученные результаты могут служить геоэкологической основой для разработки региональных программ повышения плодородия почв, проектирования адаптивно-ландшафтных систем земледелия и рационального распределения средств государственной поддержки.



